摘要 : 4 自然资源部中国地质调查局岩溶地质研究近日在云南蒙自断陷盆地石漠化区土壤碳、氮和磷化学计量研究方面获得新进展,相关研究成果发表于Forests期刊。
自然资源部中国地质调查局岩溶地质研究近日在云南蒙自断陷盆地石漠化区土壤碳、氮和磷化学计量研究方面获得新进展,相关研究成果发表于Forests期刊。直推式钻机,取土钻机,环评采样,环评取土,土壤污染采样

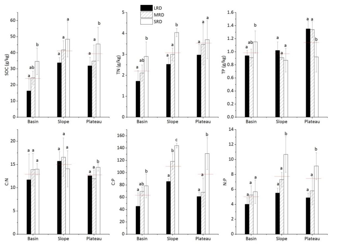
断陷盆地区位于珠江、长江中上游,隶属国家“两屏三带”生态安全屏障区,是石漠化集中连片区和综合治理重要类型区。受地质-气候条件制约,断陷盆地形成盆地内土层覆盖较厚,而浅丘、斜坡和高原面山区岩石裸露、石漠化严重的生态环境特征。通过测定土壤碳、氮和磷元素的化学计量比,可以用来指示区域植被生长的限制因子,为断陷盆地石漠化区生态恢复重建提供科学依据。直推式钻机,取土钻机,,环评取土,土壤污染采样
快盈500研究人员在云南蒙自断陷盆地区,沿盆地、斜坡和高原面采集不同石漠化发生程度的土壤,研究地形和石漠化程度对土壤碳、氮和磷元素化学计量的影响。
快盈500结果显示,同一地形条件下土壤碳氮比不受石漠化程度影响,处于较为稳定水平,而碳磷比和氮磷比则随石漠化程度加剧而增大,这与土壤有机碳和全氮含量随石漠化程度加剧而提高、磷则相对稳定的结果一致。与全国土壤平均水平相比,断陷盆地3种地形部位碳磷比和氮磷比较小,而碳有效磷比和氮有效磷比高于全国水平3~4倍,这表明断陷盆地土壤有效态含量较低,是影响植被生长的重要限制因子。
此外,研究人员还发现钙和pH是影响土壤碳、氮和磷化学计量的重要因子。断陷盆地石漠化生态恢复时,不仅要考虑海拔和垂直气候因素,还要考虑物种对钙的耐受性。直推式钻机,取土钻机,环评采样快盈500,环评取土,土壤污染采样
| 我要评论: | |
| *内 容: |
|
| 验证码: |
|
共有-条评论